Matemáticas II
7 ene. 2026
Resolución Gráfica
El teorema de Weierstrass
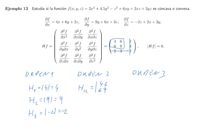
Convexidad de funciones
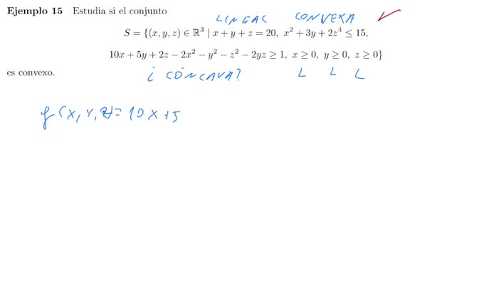
Convexidad de conjuntos
Ramificación y acotación
Introducción a la programación lineal
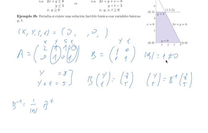
Soluciones factibles básicas
Construcción de tablas del símplex
El método símplex
Repaso del símplex
Tablas finales de símplex
Repaso de tablas finales del símplex
- ← Anterior
- 1 (current)
- 2
- Siguiente →